什么是儿童耐药癫痫?33%的癫痫患儿对药物治疗没有反应,被称为耐药性癫痫。如何控制儿童癫痫发作?如何好转生活质量和认知功能?临床研究显示,在患有耐药性、非病灶性癫痫的儿童中,植入迷走神经刺激器(vagal nerve stimulator,VNS)作为辅助治疗,可以降低癫痫的发作频率和持续时间,进而好转患儿的生活质量和神经心理功能,并减少急诊住院次数。
INC国际神经外科顾问团成员、国际神经外科学院前主席、加拿大多伦多大学儿童医院(SickKids)脑瘤研究中心主席James T. Rutka教授在其发表的一则论文中曾阐述了心源性VNS治疗儿童耐药癫痫的观察研究。具体内容如下:

这项研究评估了具有预先存在的迷走神经刺激VNS装置的抗药性癫痫(DRE)儿童在用基于心脏的VNS装置替换发电机后的癫痫治疗结果。
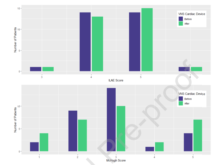
这项回顾性研究从两个中心收集了30名患有DRE的儿童,他们在使用VNS设备时使用了现有的VNS设备,并进行了至少1年的随访。研究癫痫治疗效果和不良反应。
植入心源性VNS装置的平均年龄为15.03岁。26.7%的患者在较后一次随访中(平均2.08年)至少有一个等级的好转,一半的患者保持其McHugh等级。36%的病人在较后一次随访时癫痫发作减少了50%。10名患者报告发作严重程度有所好转。大多数病人对置换术耐受良好。
结论:近三分之一的DRE患者在用心源性VNS设备替换后显示出良好的好转。一半的病人保持了对癫痫发作的控制。

迷走神经刺激VNS是什么原理?VNS是一种已研发且合适的辅助治疗方法,用于治疗无法手术或手术失败的儿童的耐药癫痫(DRE)。VNS对局灶性和全身性发作均合适。VNS技术不断发展,在过去几年中,闭环VNS设备(如AspireSR?和SenTiva)已经面世。这些设备采用基于心脏的癫痫检测算法,检测突发性心动过速作为癫痫检测的替代标志,并提供额外的响应性刺激。关于基于心脏的设备的合适性的文献有限,且主要集中在成年人群中。此外,基于心脏的设备是否能提高VNS的疗效尚不得而知。71%患有DRE的成年人,他们有一个预先存在的VNS装置,并且接受了AspireSR?电机更换,在平均19.9个月的随访后,他们的癫痫发作频率降低了≥50%,20例患者(32.3%)在McHugh结果分类中至少有一个等级的好转。因此,我们的目的是研究有预先存在的VNS装置的DRE儿童在用心源性VNS装置替换发生器后的癫痫发作控制结果。我们假设,与植入较老的VNS模型的儿童患者相比,心源性VNS装置对突发性心动过速介导的癫痫发作的检测可能会提高该装置在癫痫控制方面的功效。
在国际神经外科的癫痫治疗领域,有这样一位国际盛名的癫痫/脑瘤咨询专家(擅长小儿神经外科相关疾病),他曾任美国神经外科学会、美国神经外科医师协会会员,目前在担任国际神经外科杂志《Journal of Neurosurgery》主编,现在同时也是INC国际神经外科顾问团的教授。他就是鼎鼎大名的加拿大James T. Rutka教授。

(Rutka教授在INC二届国际神经外科顾问团年会上发表讲演)
James T. Rutka教授还在儿科外科手术、脑瘤分子生物学和外科手术教育杂志上发表了逾500篇文章。他与神经外科专家合著以及修订教材级别书籍,对神经外科领域的发展做出的贡献,2013年,James T. Rutka教授担任国际神经外科杂志《Journal of Neurosurgery》(《神经外科杂志》)主编,在神经外科领域,《Journal of Neurosurgery》被引用的次数比其他任何杂志都多,以其性和前沿性,赋予国际神经外科医生的探索和研究指导性意义。
参考文献:<https://www.sci-hub.pl/10.1016/j.eplepsyres.2020.106431>


